ads/auto.txt

Quotes About Life And Death In Burial Rites

An Essay On Burial Rites By Promodh Sri In Detail And Personal Experience Studocu

An Essay On Burial Rites By Promodh Sri In Detail And Personal Experience Studocu

From Burial Rites By Hannah Kent Burial Rites Hannah Kent Kent

From Burial Rites By Hannah Kent Burial Rites Hannah Kent Kent

Burial Rites Hanna Kent Burial Rites Book Worth Reading Book Quotes

Burial Rites Hanna Kent Burial Rites Book Worth Reading Book Quotes

Top 24 Quotes By Hannah Kent A Z Quotes

Top 24 Quotes By Hannah Kent A Z Quotes

Burial Rites Quotes Explanations With Page Numbers Litcharts

Burial Rites Quotes Explanations With Page Numbers Litcharts

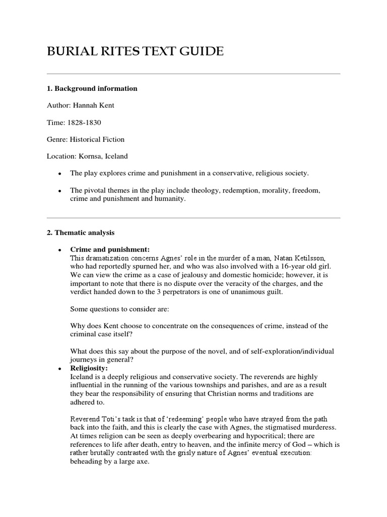
Burial Rites Text Guide Friendship Narration

Burial Rites Text Guide Friendship Narration

Burial Rites Text Guide Friendship Narration

They said i must die.

Quotes about life and death in burial rites. Detailed summary analysis prologue chapter 1 chapter 2 chapter 3 chapter 4 chapter 5 chapter 6 chapter 7 chapter 8 chapter 9 chapter 10 chapter 11. Like i can turn to that day as though it were a page in a book. It s written so deeply upon my mind i can almost taste the ink hannah kent burial rites. I understood that these people did not.

People claim to. From the creators of sparknotes. Burial rites quotes showing 1 30 of 152 to know what a person has done and to know who a person is are very different things hannah kent burial rites. This study guide consists of approximately 64 pages of chapter summaries quotes character analysis themes and more everything you need to sharpen your knowledge of burial rites.

Burial rites quotes explanations with page numbers litcharts. Burial rites important quotes. Through the story we see love turn into obsession and family bonds devolve into cruelty. I was worst to the one i loved best prologue page n a this line from the laxdaela saga opens the book summing up many of the themes within.

They said that i stole the breath from men and now they must steal mine. 2 pages at 400 words per page view a free sample. Find the quotes you need in hannah kent s burial rites sortable by theme character or chapter. It was not me they stared at.

Burial rites introduction context. Agnes at stora borg prologue. Like it s not fair.

Funeral Quotes Funeral Poems Words

Funeral Quotes Funeral Poems Words

Hannah Kent Burial Rites Burial Rites Burial Hannah Kent

Hannah Kent Burial Rites Burial Rites Burial Hannah Kent

Burial Rites Complete Symbols And Themes Year 12 Vce English Thinkswap

Burial Rites Complete Symbols And Themes Year 12 Vce English Thinkswap

Hannah Kent Burial Rites Burial Rites Burial Hannah Kent

Hannah Kent Burial Rites Burial Rites Burial Hannah Kent

Memorial Card Quotes For Funerals Funeral Quotes Grieving Quotes Dad Quotes

Memorial Card Quotes For Funerals Funeral Quotes Grieving Quotes Dad Quotes

Burial Rites Themes Characters And Literary Conventions Year 12 Vce English Thinkswap

Burial Rites Themes Characters And Literary Conventions Year 12 Vce English Thinkswap

Cclarebear Cool Words Quotes Burial Rites

Cclarebear Cool Words Quotes Burial Rites

Burial Rites Mrs Emma Jeffries

Burial Rites Mrs Emma Jeffries

So True Missing My Son So Very Much Grieving Quotes Grief Grief Quotes

So True Missing My Son So Very Much Grieving Quotes Grief Grief Quotes

Burial Rites Booklet Example Mrs Emma Jeffries

Burial Rites Booklet Example Mrs Emma Jeffries

Miss Me But Let Me Go Funeral Poem Lost Loved One Poem In Memory Of Grief Mourning Instant Download Funeral Poems Funeral Quotes Lost Love Quotes

Miss Me But Let Me Go Funeral Poem Lost Loved One Poem In Memory Of Grief Mourning Instant Download Funeral Poems Funeral Quotes Lost Love Quotes

Dad You Never Said Goodbye A Poem About Losing A Loved One Teach Me Genealogy Goodbye Poem Grief Quotes Sayings

Dad You Never Said Goodbye A Poem About Losing A Loved One Teach Me Genealogy Goodbye Poem Grief Quotes Sayings

Burial Rites Burial Rites Hannah Kent Book Club Books

Burial Rites Burial Rites Hannah Kent Book Club Books

Pinstamatic Get More From Pinterest Burial Rites Quotations Quotable Quotes

Pinstamatic Get More From Pinterest Burial Rites Quotations Quotable Quotes

Source : pinterest.com